حل المسائل ماتریس ها و جبرخطی پیام نور بیژن زاده

حل مسائل کتاب مبانی ماتریس ها و جبرخطی تألیف بیژن زاده دانشگاه پیام نور

از {{model.count}}
محصول مورد نظر موجود نمی‌باشد.
تعداد
نوع
  • {{value}}
کمی صبر کنید...

برای خرید یک فصل به زبانه «خرید فصل به فصل» در ادامه مراجعه کنید. اشتراک گذاری و خرید گروهی فایل ممنوع می باشد. لطفاً قبل از خرید، قوانین سایت را مطالعه فرمایید.

❶ تمرینات حل شده از فصل 1:

  • بخش 3.1: (کامل) تمرینات شماره 1، 2، 3، 4، 5، 6، 7، 8، 9، 10، 11
  • بخش 6.1: (کامل) تمرینات شماره 1، 2، 3، 4، 5، 6، 7، 8، 9، 10، 11، 12، 13، 14، 16، 17، 18
  • بخش 10.1: (8/14) تمرینات شماره 1، 2، 3، 4، 5، 6، 13، 14
  • بخش 11.1: (11/12) تمرینات (دوره ای) شماره 1، 2، 3، 4، 5، 6، 7، 8، 9، 10، 11

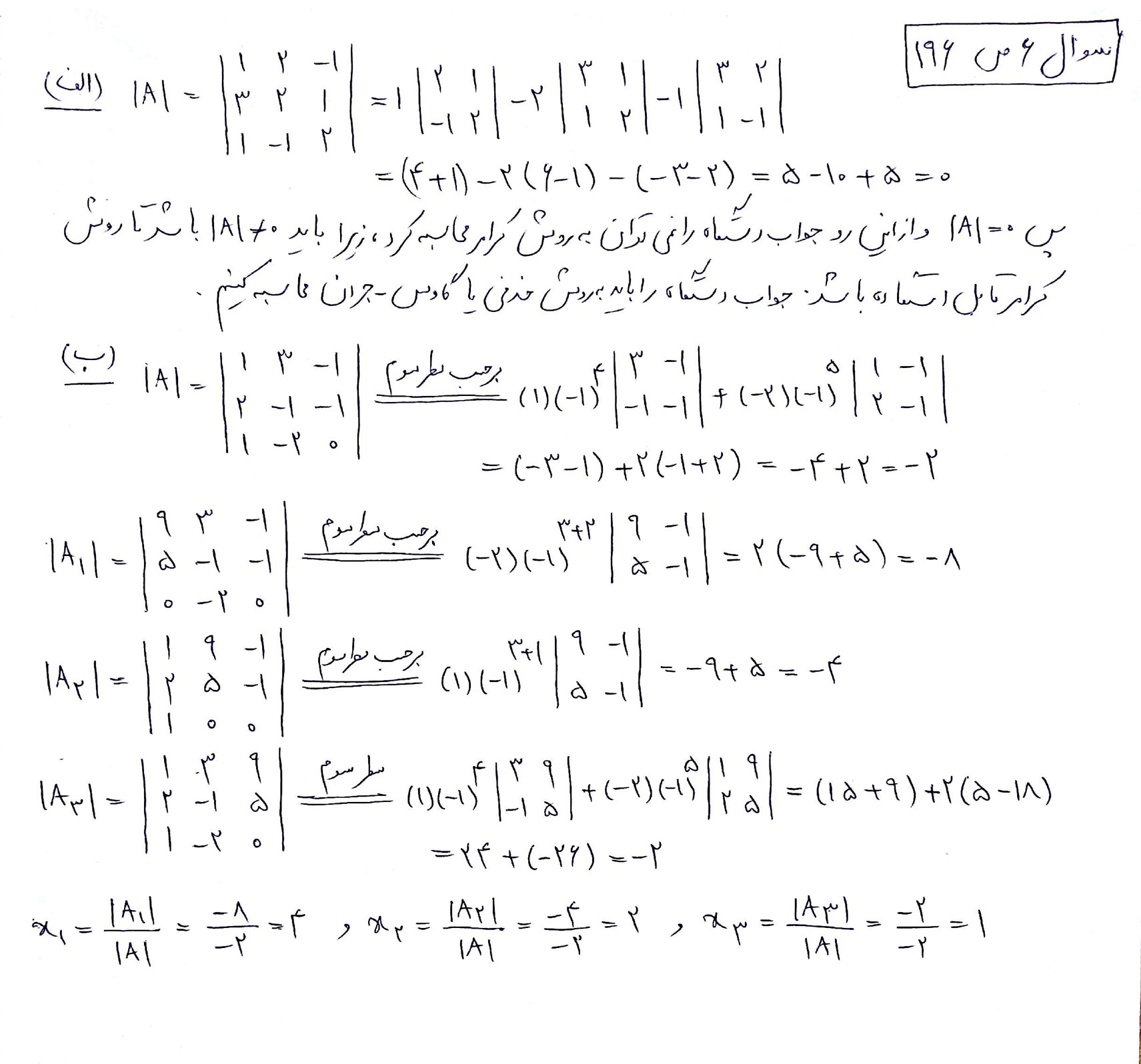
برای مشاهده نمونه حل از فصل 1، اینجا را کلیک کنید.

(نوع فایل: pdf)(تعداد صفحات: 43 صفحه)(حجم فایل: 19 مگابایت)

(قیمت: -- هزار تومان)

خرید فایل فصل 1

❷ تمرینات حل شده از فصل 2

  1. بخش 9.2: (کامل) تمرینات شماره 1، 2، 3، 4، 5، 6، 7، 8، 9، 10، 11، 12، 13، 14، 15، 16، 17، 18، 19، 20، 21، 22
  2. بخش 12.2: (کامل) تمرینات شماره 1، 2، 3، 4، 5، 6، 7، 8، 9، 10، 11، 12، 13، 14، 15، 16، 17، 18، 19، 20، 21، 22، 23، 24، 25، 26، 27، 28، 29، 30، 31، 32، 33، 34، 35، 36
  3. بخش 16.2: (27/30) تمرینات شماره 1، 2، 3، 4، 5، 6، 7، 8، 9، 10، 11، 12، 13، 14، 15، 16، 17، 18، 19، 20، 21، 22، 23، 24، 25، 26، 27
  4. بخش 20.2: (28/32) تمرینات شماره 1، 2، 3، 4، 5، 6، 7، 8، 9، 10، 11، 12، 13، 14، 15، 16، 17، 18، 19، 20، 21، 22، 23، 24، 25، 26، 27، 28
  5. بخش 22.2: (0) 
  6. بخش 24.2: (0) 
  7. بخش 28.2: (0) 
  8. بخش 29.2: (20/23) تمرینات (دوره ای) شماره 1، 2، 3، 4، 5، 6، 7، 8، 9، 10، 11، 12، 13، 14، 15، 16، 17، 18، 19، 20

برای مشاهده نمونه حل از فصل 2، اینجا را کلیک کنید.

(نوع فایل: pdf)(تعداد صفحات: 80 صفحه)(حجم فایل: 26 مگابایت)

(قیمت: -- هزار تومان)

خرید فایل فصل 2

❸ تمرینات حل شده از فصل 3

  1. بخش 4.3: (کامل) تمرینات شماره 1، 2، 3، 4، 5، 6، 7، 8، 9، 10، 11، 12، 13، 14
  2. بخش 6.3: (کامل) تمرینات شماره 1، 2، 3، 4، 5، 6، 7، 8، 9، 10، 11، 12، 13، 14، 15، 16، 17، 18
  3. بخش 8.3: (کامل) تمرینات شماره 1، 2، 3، 4، 5، 6، 7، 8، 9، 10، 11
  4. بخش 10.3: (کامل) تمرینات شماره 1، 2، 3، 4، 5، 6، 7، 8، 9، 10، 11، 12، 13، 14، 15، 16، 17، 18، 19، 20، 21
  5. بخش 11.3: (کامل) تمرینات (دوره ای) شماره 1، 2، 3، 4، 5، 6، 7، 8، 9، 10، 11، 12، 13، 14، 15، 16، 17، 18

برای مشاهده نمونه حل از فصل 3، اینجا را کلیک کنید.

(نوع فایل: pdf)(تعداد صفحات: 47 صفحه)(حجم فایل: 19 مگابایت)

(قیمت: -- هزار تومان)

خرید فایل فصل 3

❹ تمرینات حل شده از فصل 4

  • بخش 2.4: (کامل) تمرینات شماره 1، 2، 3، 4، 5، 6، 7، 8، 9، 10، 11، 12، 13، 14
  • بخش 7.4: (کامل) تمرینات شماره 1، 2، 3، 4، 5، 6، 7، 8، 9، 10، 11، 12، 13، 14، 15، 16، 17، 18، 19، 20، 21، 22
  • بخش 10.4: (کامل) تمرینات شماره 1، 2، 3، 4، 5، 6، 7، 8، 9، 10، 11، 12، 13، 14، 15، 16، 17، 18، 19
  • بخش 18.4: (24/41) تمرینات شماره 1، 2، 3، 4، 5، 6، 7، 8، 9، 10، 11، 12، 13، 14، 15، 16، 17، 18، 19، 20، 21، 22، 23، 24
  • بخش 19.4: (کامل) تمرینات شماره 1، 2، 3، 4، 5، 6، 7، 8، 9، 10، 11، 12، 13، 14، 15، 16، 17

برای مشاهده نمونه حل از فصل 4، اینجا را کلیک کنید.

(نوع فایل: pdf)(تعداد صفحات: 39 صفحه)(حجم فایل: 19 مگابایت)

(قیمت: -- هزار تومان)

خرید فایل فصل 4

❺ تمرینات حل شده از فصل 5

  1. بخش 5.5: (کامل) تمرینات شماره 1، 2، 3، 4
  2. بخش 7.5: (کامل) تمرینات شماره 1، 2، 3، 4، 5، 6، 7، 8، 9، 10، 11، 12، 13، 14، 15، 16، 17، 18، 19، 20، 21، 22، 23، 24، 25، 26، 27، 28
  3. بخش 9.5: (کامل) تمرینات شماره 1، 2، 3، 4، 5، 6، 7، 8، 9، 10، 11، 12، 13، 14، 15، 16، 17، 18، 19، 20
  4. بخش 11.5: (کامل) تمرینات شماره 1، 2، 3، 4، 5، 6، 7، 8، 9، 10، 11، 12، 13، 14، 15، 16، 17، 18
  5. بخش 14.5: (23/24) تمرینات شماره 1، 2، 3، 4، 5، 6، 7، 8، 9، 10، 11، 12، 13، 14، 15، 16، 17، 18، 19، 20، 21، 22، 23
  6. بخش 16.5: (کامل) تمرینات شماره 1، 2، 3، 4، 5، 6، 7، 8
  7. بخش 22.5: (کامل) تمرینات شماره 1، 2، 3، 4، 5، 6، 7، 8، 9، 10، 11، 12، 13، 14، 15، 16، 17، 18، 19، 20، 21، 22، 23، 24، 25، 26، 27، 28، 29، 30، 31
  8. بخش 23.5: (40/42) تمرینات شماره 1، 2، 3، 4، 5، 6، 7، 8، 9، 10، 11، 12، 13، 14، 15، 16، 17، 18، 19، 20، 21، 22، 23، 24، 25، 26، 27، 28، 29، 30، 31، 32، 33، 34، 35، 36، 37، 38، 39، 40

برای مشاهده نمونه حل از فصل 5، اینجا را کلیک کنید.

(نوع فایل: pdf)(تعداد صفحات: 121 صفحه)(حجم فایل: 33 مگابایت)

(قیمت: -- هزار تومان)

خرید فایل فصل 5

❻ تمرینات حل شده از فصل 6

  1. بخش 3.6: (کامل) تمرینات شماره 1، 2، 3، 4، 5، 6، 7، 8، 9، 10، 11، 12، 13، 14، 15، 16، 17، 18، 19، 20، 21، 22، 23، 24، 25، 26، 27، 28، 29، 30، 31
  2. بخش 8.6: (10/18) تمرینات شماره 1، 2، 3، 4، 5، 6، 7، 8، 9، 10
  3. بخش 13.6: (0/4) 
  4. بخش 14.6: (0/10) 

برای مشاهده نمونه حل از فصل 6، اینجا را کلیک کنید.

(نوع فایل: pdf)(تعداد صفحات: 37 صفحه)(حجم فایل: 21 مگابایت)

(قیمت: -- هزار تومان)

خرید فایل فصل 6

❼ تمرینات حل شده از فصل 7

  1. بخش 2.7: (کامل) تمرینات شماره 1، 2، 3، 4، 5، 6، 7، 8، 9، 10، 11، 12، 13، 14، 15، 16، 17، 18، 19، 20، 21، 22، 23، 24، 25، 26، 27، 28، 29، 30، 31، 32، 33، 34، 35، 36، 37
  2. بخش 7.7: (13/14) تمرینات شماره 1، 2، 3، 4، 5، 6، 7، 8، 9، 10، 11، 12، 13
  3. بخش 11.7: (کامل) تمرینات شماره 1، 2، 3، 4، 5، 6، 7، 8، 9، 10، 11، 12، 13، 14، 15، 16، 17، 18، 19، 20، 21، 22، 23، 24، 25، 26، 27، 28، 29
  4. بخش 15.7: (17/30) تمرینات شماره 1، 2، 3، 4، 5، 6، 7، 8، 9، 10، 11، 12، 13، 14، 15، 16، 17
  5. بخش 16.7: (0/16) 

برای مشاهده نمونه حل از فصل 7، اینجا را کلیک کنید.

(نوع فایل: pdf)(تعداد صفحات: 76 صفحه)(حجم فایل: 25 مگابایت)

(قیمت: -- هزار تومان)

خرید فایل فصل 7


  • حل تمرین ها تحت نظر مدرس رسول خیّری
  • توضیحات ساده، گام به گام و مطابق با کتاب بیژن زاده
نوع فایل
pdf
نسخه
دستنویس
کیفیت
عالی

دیدگاه خود را بنویسید

  • {{value}}
این دیدگاه به عنوان پاسخ شما به دیدگاهی دیگر ارسال خواهد شد. برای صرف نظر از ارسال این پاسخ، بر روی گزینه‌ی انصراف کلیک کنید.
دیدگاه خود را بنویسید.
کمی صبر کنید...